立即注册找回密码

QQ登录

只需一步,快速开始

微信登录

微信扫一扫,快速登录

搜索
小桔灯网 门户 资讯中心 检验前沿 查看内容

《自然》子刊:多癌液体活检筛查风险分层的重要效用!

2023-7-10 13:48| 编辑: mango524| 查看: 2426| 评论: 0|来源: 小桔灯网

摘要: 美国预防服务工作组只推荐了几种基于年龄的单一癌症筛查方式



由于癌症晚期预后不良,开发有效的早期癌症检测筛查工具一直是一个迫切的需求。识别处于亚临床或无症状阶段的个体为早期干预提供了独特的机会,这已被证明可以提高生存率。在癌症患病率相对较低的一般人群中,理想情况下,筛查试验需要广泛可及、高度特异性和敏感性。筛查试验应具有特异性,以尽量减少与过度诊断相关的心理和经济负担以及与不必要的随访治疗相关的风险。由于这些原因,迄今为止,美国预防服务工作组只推荐了几种基于年龄的单一癌症筛查方式,如结直肠癌的结肠镜检查,乳腺癌的乳房X光检查,肺癌的低剂量计算机断层扫描,宫颈癌的巴氏涂片检查。


使用无细胞DNA (cfDNA)等分析物的多癌早期检测(MCED)液体活检试验越来越受到关注。比如GRAIL的Galleri和Thrive的DETECT-A测试。然而,低PPV(阳性预测值)问题仍然是新开发的多癌检测的一个重大限制。目前的MCED检测具有高特异性(99%或更高),但一般人群的PPV通常较低,因为一般人群的敏感性和癌症患病率较低。在未来,可能需要一种风险分层的方法来加强PPV和这些测试的风险-收益平衡。由于全基因组关联研究(GWASs)中出现了针对多种癌症的多基因风险评分(PRS),一项研究调查了PRSs和其他风险因素的潜在效用,以建立一个模型来预测癌症中至少一种风险,以了解生活方式改变对总体癌症风险的影响。


近日,一组来自约翰·霍普金斯大学的研究团队在杂志NPJ Precision Oncology上发表了一篇题为“Potential utility of risk stratification for multicancer screening with liquid biopsy tests”的文章。此概念验证研究揭示了年龄、多基因风险评分(PRS)和非遗传风险因素在增加快速出现的非侵入性多癌早期检测(MCED)液体活检检查的风险-收益平衡方面的风险分层的潜力。作者开发并验证了性别特异性泛癌症风险评分(PCRSs),该评分由体重指数、吸烟、癌症家族史和癌症特异性多基因风险评分(PRSs)联合定义,以预测罹患至少一种常见癌症类型的绝对风险。作者证明了PRSs在改善风险因素模型的预测性能方面的附加价值,并在年龄和PCRS定义的风险层中预测了两种有前途的多癌筛查试验的阳性和阴性预测值。


图片来源:NPJ Precision Oncology


主要内容

受试者信息


作者使用来自英国生物银行(UKBB)前瞻性研究和美国人口癌症发病率的数据,使用个人遗传和非遗传信息来估计未来的癌症风险。作者确定了女性和男性的十大癌症类型,且具有足够大且可公开获得的GWAS。最终分析涉及133,830名女性和115,207名无血缘关系的英国白人血统参与者,年龄在40-73岁之间,在随访过程中分别有5807和5906例膀胱癌、乳腺癌、结直肠、子宫内膜、肾癌、肺癌、黑色素瘤、非霍奇金淋巴瘤、卵巢、胰腺和前列腺癌。


使用模型概述


作者使用了性别特异性Cox比例风险回归模型,其中基线风险被指定为年龄的函数,并假设风险因素具有倍增效应。作者计算了11种(膀胱、乳腺、结直肠、子宫内膜、肾、肺、黑色素瘤、非霍奇金淋巴瘤、卵巢、胰腺和前列腺)癌症类型的PRSs(如下图)。纳入了两种主要的与生活方式相关的暴露,即吸烟(吸烟状况和吸烟量)和体重指数(BMI),已知会影响多种癌症的风险,以及生物学一级亲属的乳腺癌、结肠直肠癌、肺癌和前列腺癌家族史作为风险因素。然后计算泛癌风险评分(PCRSs)作为多癌Cox模型中包括的预测因子的加权和。使用长达5年的随访数据及标准化的瞬时风险比和曲线下面积(AUC)评估PCRSs的性能。作者假设个体携带无症状但可筛查到的癌症的概率与短期内(DETECT-A为11个月,Galleri为1年)内发生癌症的风险成正比。基于这些测试的报告诊断准确性,研究团队使用贝叶斯定理来确定DETECT-A和Galleri在PCRS百分位数和年龄上的预期PPVs和NPVs。


癌症类型的多基因风险评分(PRS)的估计风险比(HR)[女性]。图片来源:NPJ Precision Oncology


模型性能


正如预期的那样,在UKBB研究的随访期间,PCRSs与女性(HR: 1.39 per 1 SD)和男性(HR: 1.43 per 1 SD)中发生至少一种癌症的风险密切相关。通过年龄、癌症特异性多基因风险评分和多种癌症类型共有的常规危险因素的综合影响,作者观察到多种癌症的风险分层程度很强(如下图)。仅PRS模型(女性AUC: 0.58,男性AUC: 0.59)、仅风险因素模型(女性AUC: 0.55,男性AUC: 0.57)和联合PCRS模型(女性AUC: 0.60,男性AUC: 0.62)在不同年龄和风险阶层的1年和10年轨迹的比较,进一步证明了癌症特异性PRSs作为协变量在改善多癌风险分层和预测模型性能方面的附加价值。综合(即PCRS)模型显示,75岁以上的高风险女性(前10个百分位)的平均1年总体绝对癌症风险为3.58%,而相同年龄的低风险女性(后10个百分位)的平均1年总体绝对癌症风险为0.77%,而风险因素单一模型显示,高风险组和低风险组之间的总体癌症风险分层水平较低,1年绝对风险分别为2.36%和1.12%。


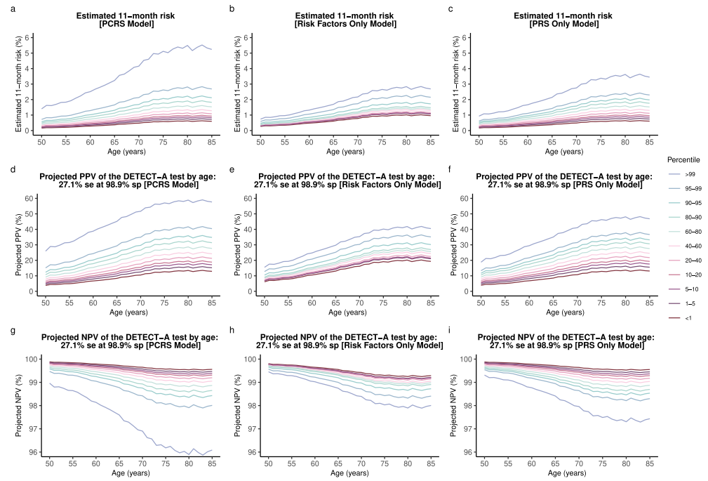
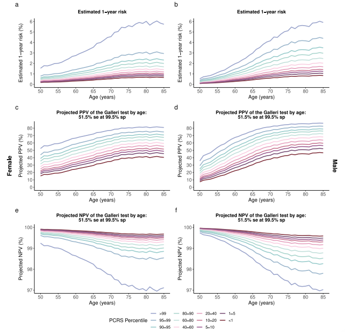
此外,MCED检测(Galleri检测灵敏度为51.5%,特异度为99.5%; DETECT-A检测灵敏度为27.1%,特异度为98.9%)的预测PPV因人群分层潜在风险水平和液体活检检测准确性而有很大差异。例如,在90 - 95个PCRS百分位数(AR: 2.27%)的75岁女性与在5- 10个PCRS百分位数(AR: 0.89%)的同龄女性相比,1年的风险增加2.6倍(下图a)。两种测试在所有阶层的所有风险百分位数上的NPV都很高(下图e、f)。


预计的1年绝对风险和Galleri检验预测的PPV和NPV。

图片来源:NPJ Precision Oncology


临床环境的转化


作为在临床环境中整合这些新的多癌筛查试验的第一步,可以考虑采用固定的PPV阈值作为推荐在无症状阶段进行早期多癌筛查的指标。资格将因年龄和PCRS百分位数而有很大差异。例如,在40% PPV的阈值下,女性早在50岁和第95个PCRS风险百分位数及以上就推荐进行Galleri测试。然而,对于DETECT-A,女性将推荐从61岁起且处于最高PCRS风险百分位数开始进行筛查(下图d)。将PPV阈值提高到60%时,对于DETECT-A,即使在年龄最大和风险最高的人群中,也没有女性达到所需的PPV。由于Galleri的高灵敏度和特异性,女性将在56岁开始并且在最高的PCRS百分位数达到所需的阈值。


估计绝对风险与三个独立模型的DETECT-A测试预测的PPV和NPV的比较。图片来源:NPJ Precision Oncology


局限性


此分析有几个局限性。首先假设报告的灵敏度和特异性测试如DETECT-A和Galleri将适用于所有年龄,性别和风险群体。鉴于老年人克隆造血导至cfDNA序列改变的增加,cfDNA分析的改进将需要克服这些挑战。需要更多的经验数据来探索年龄和其他危险因素对MCED检测诊断准确性的潜在异质性。此外,包含广泛的家族史信息和罕见高渗透突变的携带者状态的模型对于具有强相关癌症聚集性的高风险家庭的个体将是重要的。排除次要等位基因频率<0.01的变异是本研究的另一个局限性。最后,由于本研究中其他祖先群体的样本量有限,以及在非欧洲血统人群中缺乏经过良好验证的PRS,作者的模型构建工作仅限于UKBB中英国白人血统的参与者。迫切需要对不同人群进行大规模研究,以研究MCED测试的准确性,并建立和验证跨不同种族和民族群体的强大的多癌风险预测模型。


总结


总之,研究团队强调了在多癌筛查中基于风险的方法的潜力。与由年龄、家族史、吸烟和BMI定义的模型相比,作者观察到PRS在改善癌症结局的风险分层程度方面的附加价值。在人群水平的早期癌症筛查的背景下,即使在没有常规危险因素的情况下,增加PRS也可以检测出高风险个体。在未来,需要在不同人群中进行强有力的实证研究,以前瞻性地评估多癌液体活检试验在个性化早期癌症检测中的应用。


声明:
1、凡本网注明“来源:小桔灯网”的所有作品,均为本网合法拥有版权或有权使用的作品,转载需联系授权。
2、凡本网注明“来源:XXX(非小桔灯网)”的作品,均转载自其它媒体,转载目的在于传递更多信息,并不代表本网赞同其观点和对其真实性负责。其版权归原作者所有,如有侵权请联系删除。
3、所有再转载者需自行获得原作者授权并注明来源。

最新评论

关闭

官方推荐 上一条 /3 下一条

客服中心 搜索 洽谈合作
返回顶部