立即注册找回密码

QQ登录

只需一步,快速开始

微信登录

微信扫一扫,快速登录

搜索
小桔灯网 门户 资讯中心 专家视角 查看内容

【冯仁丰】学习EP9-A3的体会之五:三种回归统计

2018-12-18 08:27| 编辑: 小桔灯网| 查看: 12318| 评论: 0|来源: 冯仁丰

摘要: EP9-A3文件对检测程序比较数据的处理,除了有多个图示方法,便于实验室使用观察外,最后确定检测程序比较反映的不正确度大小,还是必须采用直线回归统计。但是,与以往的EP9文件不同的是,文件介绍了至少三种回归统 ...

EP9-A3文件对检测程序比较数据的处理,除了有多个图示方法,便于实验室使用观察外,最后确定检测程序比较反映的不正确度大小,还是必须采用直线回归统计。但是,与以往的EP9文件不同的是,文件介绍了至少三种回归统计方法,如最小二乘法、Deming回归、和Passing-Bablok回归,还有加权的回归。实验室对这些回归方法的原理和具体使用较生疏。我在这篇微信中,简要地向大家做介绍。


一、直线回归统计意义(最小二乘法)

在临床实验室的日常实践中,用得最多的是最小二乘法的直线回归。这个统计方法的假设前提是:所有统计数据以x值为准,y值成为x的应变量。这样的前提使得出的直线回归,确实是问题。在进行方法学比较时,比较的x和y是互相独立的,不存在y依赖x。


欲了解两组有关联的实验数据间的数学关系,可以作回归统计。必须先作图,看趋势,再统计。具有直线趋势的,再作直线回归统计。


期望的直线,与所有的实验点具有最佳的配合。最小二乘法做法是:如前述,所有统计数据均以x值为准。因此被认为当x和y方法比较时,具有的差异是因为引入了y方法所致。在相同的xi下,有原先的实验点xi,yi,假设已经有了回归直线,则在xi下,在回归线上有回归统计估计的xi,yi点。因此在y值上实验得到的yi和统计估计的yi间的差异

被认为因引入回归统计所致。因此,使用回归统计引入的回归直线,应该使所有的回归直线引入的统计误差为最小,即

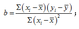
最小下配合的回归线,被称为最小二乘法。平方即二乘。最小二乘法也即使平方和为最小。具体的统计过程,在一般统计书均有介绍。求出回归直线的斜率:

求回归直线的截距:


得到该回归直线的等式为:


二、Deming回归

前述的最小二乘法的直线回归,它的统计要求前提,丧失了两个方法学比较的关系。它一切以x为准,统计用来观察y对于x的关系。如果二者有差异的话,均被认可是引入y所致。这样的比对失去了真实含义!不要否认,x和y方法对相同一组病人标本检测时,均有误差!


关于Deming回归,以图示表示。

在实际的Deming回归统计中,还必须考虑x和y方法对一组病人样品的检测值的分布是否一致,即要考虑每组x值的标准差Sx和y值的标准差Sy是否接近一致。还要考虑两个方法自身的重复精密度是否比较一致等。有关计算,各位可以寻找统计书籍或软件进一步去了解。为计算Deming的斜率,假定x和y在整个检测范围内具有恒定的不精密度,误差均为正态分布。若x和y的检测误差比率可以估计,当x为自变量时:

(经过初步的计算,知道在计算Deming回归斜率时,λ因子是关键。若λ趋近1,则U很小,斜率即接近1。因此,今后要用Deming回归统计时,一定要有不同样品的分析物的浓度下,2个比较方法的精密度数据,这样,才能完成Deming统计。)


可惜,国内外的统计书上,没有介绍Deming回归的统计方法。因此,所有的介绍只能依靠杂志和有关公司的介绍。另外,CLSI的EP9-A3文件的附录里,有详细介绍Deming回归的内容。需要了解的可参阅这部分内容。


Deming回归只能做一个概要的介绍,它的计算有些复杂,需要认真学习。今后,在工作中需要使用Deming回归统计时,再做深入讨论。


三、Passing-Bablok回归

Passing和Bablok形成了方法比较的非参数检验。它不需要关于检测值分布的前提。它也能够检查非线性,在对于离群值上非常稳健。在做法上,计算任何两个实验结果点间所有可能的斜率。

每条连接线的斜率为:

一共有2n条任何两点链接的线。所有连线的斜率为Sij。这些斜率的中位数|b=med{Sij}为Passing-Bablok的回归线斜率。然后再估计出所有对于回归线的各个实验点的所有残余yi-bxi,回归线的截距 a = med{yi-bxi}(为所有残余的中位数。)

声明:
1、凡本网注明“来源:小桔灯网”的所有作品,均为本网合法拥有版权或有权使用的作品,转载需联系授权。
2、凡本网注明“来源:XXX(非小桔灯网)”的作品,均转载自其它媒体,转载目的在于传递更多信息,并不代表本网赞同其观点和对其真实性负责。其版权归原作者所有,如有侵权请联系删除。
3、所有再转载者需自行获得原作者授权并注明来源。

刚表态过的朋友 (0 人)

最新评论

关闭

官方推荐 上一条 /3 下一条

客服中心 搜索 洽谈合作
返回顶部