登陆有奖并可浏览互动!
您需要 登录 才可以下载或查看,没有账号?立即注册
×
《ASCO年度报告:2015临床肿瘤学进展》中,液体活检技术被列为肿瘤治疗领域下一个十年趋势之一。ctDNA作为液体活检的首选已逐渐从科研走 向临床。而欧盟批准将ctDNA检测用于易瑞沙的伴随诊断则更是标志着ctDNA临床应用的大规模实现。 那么什么是ctDNA?它来自哪里?有什么特点?ctDNA可以为肿瘤治疗提供哪些帮助呢?本专题将从基础研究出发,结合最新的临床实践,以一个专题的形式为您构建ctDNA的全景图,让您更好的了解这项前途无限的新兴技术。 我们去医院看病,最常见的检查项目大概就是血常规检测了。血液循环系统就像是人体的交通系统,负责运输各类物质(如氧气、糖类、脂类)等,这些物质的变化, 例如血糖含量的升高和血脂含量的升高,往往就是我们身体欠佳的指征。一些血液中的分子标志物已经被应用于一些疾病的诊断,如谷丙转氨酶用于肝炎的诊断,白细胞数目用于判断炎症等等。 在血液中,同时也存在着多种核酸分子,DNA、mRNA、miRNA、病毒DNA,核小体等等。对于医学来说,这些核酸分子就像尚未被开发的宝藏,埋藏着人体的秘密。1997年,香港中文大学的卢煜明教授发现孕妇外周血中存在着胎儿的游离DNA,从而开创了无创产前诊断(NIFTY)的新时代。可是,你知道吗?循环肿瘤DNA的发现,还要早于胎儿游离DNA。 ctDNA(circulating tumor DNA),即循环肿瘤DNA,从字面意思来讲,指的是由肿瘤细胞释放到血液循环系统中的DNA。但是在了解ctDNA之前,我们要知道另一个与之相关的概念——cfDNA。cfDNA(cellfree DNA),或者叫血浆游离DNA,是血浆中游离存在的DNA,它们有的来自于正常细胞,有的来自于异常细胞(如肿瘤细胞),还有部分来自于我们外部(如病毒DNA)。 早在1947年,比DNA双螺旋结构发现还早6年的时候,Mandel和Metais就发现血浆中存在游离的核酸分子;1977年,Leon等人发现,肿瘤患者的血浆游离DNA水平要明显高于健康人群;可是,又过了17年,人们才发现这种携带了突变信息的循环DNA是肿瘤的标志。人们逐渐明白,cfDNA中 携带肿瘤特有突变的那一小部分DNA,确确实实是由肿瘤细胞释放出来的,ctDNA的研究终于与肿瘤关联起来。 为什么肿瘤细胞会将DNA释放到血液中呢?科学家给出了三种主要的解释:1、来自于坏死的肿瘤细胞;2、来自于凋亡的肿瘤细胞;3、来自于肿瘤细胞分泌的外排体。但是还有一些问题尚未明确,如循环肿瘤细胞是否也释放了部分ctDNA,这三种来源对于ctDNA的贡献比例是怎样的等等。 但是有一点是比较明确的:cfDNA并不是一整条或者随机的进入血液的,它们有自己的载体——核小体。核小体以单个、双联或者三联的形式进入血液,并逐步分解——有研究显示cfDNA的半衰期只有2个小时。缠绕在每个组蛋白上面的DNA约166bp,因此大部分的cfDNA长度都在166bp左右,癌症患者 的DNA片段分布图也证明了这一点。  ctDNA如此有趣,就像是肿瘤细胞留在血液中的指纹,让我们有可能仅仅凭借一管血,就可以追查癌症的真凶,分析它的各项特征,从而为消灭这个凶手提供不可或缺的信 息。那么,我们能从ctDNA中得到哪些肿瘤的信息呢?ctDNA和肿瘤细胞又有怎样的故事呢? 癌症是基因病——在几十年前,有些科学家就已经认识到了这一点:1986年,来自意大利的诺贝尔奖得主Renato Dulbecco在谈到为什么一定要测定整个人类基因组序列的时候说:这是打赢对癌症战争的唯一途径。在2011年与世长辞之前,改变世界的乔帮主 Steve Jobs一直在接受美国一家基于基因组测序的癌症个性化诊治公司的治疗。谈到这项技术,他说:“我要么是第一个能够摆脱癌症的人,要么会是最后一个因为癌 症而过世的人。” 他们是对的,但是可能超前了一点:癌症基因组远比我们想象的复杂,我们获得了这个凶神恶煞的一部分密码,但是如何解密却是一个巨大的工程。幸运的是我们走对了路,癌细胞的基因组里面确实发生了巨大的变化。 上世纪80年代,人们在肿瘤组织中发现了TP53的突变,这是在所有癌症中最普遍存在的一个基因突变:有 45%以上的癌症基因组里TP53都发生了突变。TP53实际上是一个抑癌基因,它就像是一个分子开关,严格控制着细胞的生长增殖,那些由于TP53突变 而失去控制的癌细胞因此就获得了无限增殖的能力;还有一些基因叫原癌基因,比方说KRAS是一种激酶,某种突变形式会让它获得持续的激活,从而使癌细胞失 控。像TP53和KRAS这样的肿瘤相关基因目前总共发现了几百个,几乎每个癌症病人的癌组织中都会发现这些基因中的某几个发生了突变。不要以为科学家们只 是好奇,发现这些突变是有非常重大的临床指导意义的——EGFR在非小细胞肺癌中突变率并不高(10-35%),但是科学家由此开发出专门针对EGFR突 变的靶向药物,已经造福了无数的携带该突变的癌症病人。 
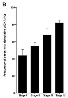
在所有癌肿中不同基因/突变类型的频率统计 在前文中我们讲到,癌细胞会将自己的DNA释放到血液中,随着癌细胞DNA一并释放到血液中的,是它们所携带的各类突变——而这些突变,就是我们识别癌症 的密码。大体来说,这些密码包括点突变(SNV),短的插入缺失(InDel),拷贝数变异(CNV),结构变异(SV)等等。我们知道,血浆中的 cfDNA,只有一小部分(平均5-10%)是来自于癌细胞,这就相当于把密码信息稀释了十倍甚至几十倍,那么我们还能识别这些密码吗? 科学家给出的答案是肯定的:在几乎所有种类的癌症中,都检测到了ctDNA所带有的标志性突变,并且肿瘤越晚期,病情越严重,肿瘤的恶性程度越高, ctDNA特有突变的频率就越高。一项针对15种癌症进行的ctDNA测序研究显示,分别有47%,55%,69%,82%的I-IV期癌症病人中能检测 到高于一定频率的ctDNA突变;而另一项使用更高灵敏度测序技术的研究则表示,对于II期以上的病人,均能100%检测到突变。 不同分期癌症的ctDNA检出情况 该研究组还比较了不同种癌症中检出ctDNA突变的比例,结果发现不同的癌症有较大的差异,卵巢癌,结直肠癌等几乎能百分之百检测到ctDNA,而脑肿瘤的检出率不到10%——这或许和不同组织的特性,如血脑屏障有关。 不同癌症的ctDNA检出情况 肿瘤是有异质性的,同一个肿瘤的不同部位基因组是有差异的,同一个病人的原发癌和转移癌基因组也是有差异的——但是它们将ctDNA释放进的是同一个血液循 环系统——这也就意味着,ctDNA比单独一块肿瘤组织有更好的代表性。一个研究小组分析了一个有多处肿瘤的病人,证实ctDNA确实来自于所有的肿瘤组 织,甚至有的还有可能来自于影像学观察不到的微小癌肿。 一例多处癌肿病人 在科研界,对ctDNA的解密工作正在紧锣密鼓热火朝天的进行着,科学家们尝试了各种各样的手段,发明了各种各样的新技术,以期能最大化的将ctDNA带来的信息利用起来。 来源:诺禾优康
|