立即注册找回密码

QQ登录

只需一步,快速开始

微信登录

微信扫一扫,快速登录

搜索
小桔灯网 门户 资讯中心 技术杂谈 查看内容

IVD阳性判断值研究还要进行样本量估算?

2024-11-21 15:26| 编辑: 沙糖桔| 查看: 3281| 评论: 0|来源: 分子诊断IVD

摘要: 以下因素在阳性判断值研究中应重点考虑。

最近有粉丝后台留言,问体外诊断试剂阳性判断值研究应纳入多少例临床样本?

关于这个问题我很难给出一个具体数值,因为不同项目不同产品情况不同,没有一个统一的量化标准,但是,以下因素在阳性判断值研究中应重点考虑。

1、训练集和验证集

阳性判断值的研究应包括建立与确认两个阶段。建议区分训练集和验证集,分别纳入不同的样本子集进行研究。

  • 训练集:用于训练模型的样本集合, 主要用来训练模型参数。

  • 验证集:用于模型验证的样本集合,用来对模型进行评估。

若测试集与验证集数据有重叠,会高估模型的性能,造成较大的偏倚。

对数据集的分组应遵循随机原则,可使用简单随机分组等方法。

如果数据集分为训练集和验证集两组,比例通常为 7∶ 3 至 9∶ 1。分组的比例不是固定的,但是留出给验证集的样本量不宜过大,否则会有大量数据未被训练到、从而造成样本数据的浪费;同样也不能过小,否则难以保证验证结果的准确性和稳定性,不能控制评价结果的随机误差。

2、预期用途

在疾病组入组过程中,相应入组人群及样本类型应与产品预期用途一致。此外,应重点考虑产品阳性判断值与产品预期用途的适应性,如某些筛查用产品,其临床应用过程中不期望有过多的检测对象被漏诊,此类产品阳性判断值设定过程中应适当考虑在其特异性满足要求的前提下,尽量提高其灵敏度,如某些临床用于确认的产品,其临床应用过程中不期望有过多的检测对象被错误的报告为阳性,此类产品阳性判断值设定过程中应考虑其灵敏度满足要求的前提下,尽量提高其特异性。

3、受试者代表性

研究过程中,应同时入组患病人群(疾病组)与正常人群(正常组),应从预期适用人群中选择具有代表性的目标人群( 如不同组织病理类型分期的肿瘤、其他相关的良恶性疾病),并从临床意义的角度考虑其中可能存在的亚群( 如不同分期的肺癌患者),分层进行统计分析以确定各个亚群的阳性判断值。

可具体比较不同临床背景特征的适用人群,不同种族或地域人群,具有流行病学差异的人群以及不具有可比性的样本类型之间的差异,必要时分别建立阳性判断值或参考区间。

4、参考标准

参考标准(reference standard)应选取当前医学界公认的、对某疾病最可靠的诊断标准,包括病理学检查、实验室检查、影像学检查、术中发现以及专家或权威机构认定的综合诊断标准等。其中,病理学检查被认为是肿瘤的金标准(gold standard),高分辨率 CT 被认为是骨折的金标准。此外,随着医疗水平的发展,新的诊断性试验可能替代旧的试验成为新的参考标准。

5、统计学要求下的样本量估算

5.1 灵敏度/特异性样本量计算

假设我们希望确定研究的样本量,以估算新诊断试剂的灵敏度(Se)。同样,我们也可以估计试剂的特异性 (Sp)。用灵敏度计算阳性组的样本量,用特异性计算阴性组的样本量。样本量估算公式为:

公式中n为样本量

Z1-α/2为置信度标准正态分布的分位数

P为灵敏度/特异性的预期值

Δ为P的允许误差大小,常用的取值为0.05~0.1

例如:某试剂用于相关疾病的辅助诊断,通过对已有资料进行分析得知,该检测试剂的灵敏度预期为85%,特异度预期为90%。阳性判断值研究采用试验体外诊断试剂与临床参考标准进行比较研究的方法,评价试剂的灵敏度和特异性。设置允许误差Δ取值0.05,则具有目标疾病状态的受试者(阳性)最低样本量(n+)估计为:

不具有目标疾病状态的受试者(阴性)最低样本量(n-)估计为:

根据以上估算,总样本例数预计为334例。

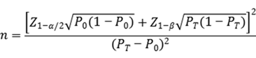
5.2 单组目标值法样本量估算

如果评价指标有确定的临床可接受标准时,需证明产品评价指标满足可接受标准要求。此时可采用单组目标值法样本量公式估算最低样本量。

n为样本量

Z1-α/2为显著性水平的标准正态分布的分数位

Z1-β为把握度的标准正态分布的分数位

P0为评价指标的临床可接受标准

PT为试验体外诊断试剂评价指标预期值

一般的,在阳性判断值研究中,如与已上市同类产品进行对比试验,可根据临床需要设定适当的临床可接受标准,并采用上述公式进行最低样本量估算。

例:采用试验体外诊断试剂与已上市同类产品进行比较研究的方法,根据临床需求,阳性符合率应达到85%,根据探索性试验结果,试验体外诊断试剂与对比试剂阳符合率预期为90%。阳性组(n+)最低样本量估计分别为:

有人可能会问,这不就是体外诊断试剂临床试验技术指导原则定性检测样本量估算方法吗?

没错,你的直觉是对的。阳性判断值对于临床试验而言,无论是试剂盒预期用途、适应症和适用人群都是一致的,因此,从这种意义上讲阳性判断值研究就是一个小临床。另外,受试者工作曲线( ROC曲线) 是建立产品阳性判断值的常用方法之一,因此,还可以使用单个ROC面积进行样本量计算。

5.3 ROC面积样本量估算

ROC曲线下面积介于0和1之间,一般认为,曲线下面积越大,表示诊断价值越高,反之诊断价值越低。

ROC曲线还有一个很重要的用途,就是对连续资料寻找一个合理的cutoff值,将诊断指标分为两类,这样可以计算灵敏度和特异度。ROC方法样本含量估算公式为:

式中,Zα/2表示标准正态分布1-α/2的分位数,通常取α=0.05,此时Zα/2为1.96。

V表示相应指标的方差。

其中a=Φ-1(A)×1.414,Φ-1表示累积正态分布函数的逆函数。

d表示估计精确度,主要根据专业来定。如果专业上难以确定,可根据以往文献报道的95%可信区间来确定,通常最高不超过可信区间宽度的一半,也称半宽(half width)。

例如,查阅文献发现某试剂ROC曲线下面积为0.70,估计精确度约为 0.07,所需的样本量可计算如下:

参考文献

[1] Hajian-Tilaki K .Sample size estimation in diagnostic test studies of biomedical informatics - ScienceDirect[J]. Journal of Biomedical Informatics, 2014, 48(1): 193-204.

声明:
1、凡本网注明“来源:小桔灯网”的所有作品,均为本网合法拥有版权或有权使用的作品,转载需联系授权。
2、凡本网注明“来源:XXX(非小桔灯网)”的作品,均转载自其它媒体,转载目的在于传递更多信息,并不代表本网赞同其观点和对其真实性负责。其版权归原作者所有,如有侵权请联系删除。
3、所有再转载者需自行获得原作者授权并注明来源。

最新评论

关闭

官方推荐 上一条 /3 下一条

客服中心 搜索 洽谈合作
返回顶部