立即注册找回密码

QQ登录

只需一步,快速开始

微信登录

微信扫一扫,快速登录

搜索
小桔灯网 门户 资讯中心 检验杂谈 查看内容

【冯仁丰】免疫散射比浊法和免疫透射比浊法 3

2022-10-26 10:48| 编辑: 沙糖桔| 查看: 8000| 评论: 0|来源: 冯仁丰

摘要: 如何处理反应产生的信号?Beckman的ARRAY采用了完整动态处理的速率散射法。

免疫散射比浊法


免疫透射比浊法

冯仁丰

三、免疫比浊方法考虑的问题


1、免疫沉淀方法的历史里程碑


  • 1915年  Klett 和 Bloor 采用散射比浊检测血液和牛奶中的脂肪颗粒。

  • 1935年   M.Heidelberger 和 F.E.Kendall报告了沉淀反应的定量研究。

  • 1938年  R.L.Libby 以散射的方式研究了免疫沉淀。

  • 1959年  H.E.Schultze 和 G.Schwick 使用透射比浊对9个血浆蛋白进行了定量检测。

  • 1976年  Hyland 和 Behring两个公司推出了散射比浊仪。


2、反应信号与时间的关系

   我借用Mezhmann提供的资料,来说明关系。(图10)

图10、典型的反应信号与时间的关系


由图说明了,在发生免疫反应前,将样品和试剂1加入样品杯,即刻被搅拌。大多试剂1为缓冲液,目的是将样品充分稀释混匀。然后加入试剂2,加入相应抗体,在搅拌下开始了抗原抗体结合产生复合物。产生的免疫散射或免疫透射的检测信号。随着反应时间的延长,检测信号上升。如图所示。


如何处理反应产生的信号?Beckman的ARRAY采用了完整动态处理的速率散射法。如图11。

图11、Beckman ARRAY说明书上图示。为速率散射法。


Dati和Metzmann原先服务于Behringer公司。应该讲,他们参与了整个BN II散射比浊分析仪的开发。在研究免疫散射比浊分析中,很早就注意到免疫透射比浊的可行性。但是,Behringer公司从经济利益着想,将透射比浊放在一边。完整地开发了系列特定蛋白检测试剂、校准品、和仪器。为公司得到了巨大丰厚的经济利益。


在BN II产品说明书内,对免疫散射比浊,介绍了不同情况下蛋白质检测方法学。


说明书说,可以在下列情况下检测抗原抗体复合物产生的散射光:


  • 反应完成 = 终点检测(终点法)模式

  • 预定时间间隔下的信号差异 = 定时速率检测模式

  • 反应过程的持续检测 = 全程检测(VLinIntegral)模式

 

第一个检测模式为终点检测。仅用于某些选定项目,例如以TCA(三氯乙酸)沉淀法检测血清、血浆、尿液和脑脊液内的总蛋白。


该方法学检测抗原抗体反应的最大浊度。然后将检测信号值与校正曲线比较转换为蛋白浓度。

图12、散射免疫散射比浊的终点检测模式


第二个检测模式为定时速率。这个模式,是在两个时间点检测信号间差异,去确定样品内蛋白浓度。


将反应组分转入比色杯后,第一次检测(起始)在约7.5s(t1)。


第二次检测的t2,可在孵育反应6分钟、12分钟或更长时间(依据设定程序)。


计算t2和t1检测得到的散射光强度差,从校准曲线上得到蛋白浓度或其他单位值(g/L、IU/ml)。

 图13、定时速率检测


这个方法的优点,是在开始时还没有形成抗原抗体复合物时,通过信号差,扣除了反应组分内因基质散射的干扰。


第三个为全程持续监视(VLinIntegral)检测模式。


VlinIntegral是一个新的数学计算处理,用来评估动力学的凝集反应,例如颗粒增强的免疫分析法或沉淀实验。


这个计算的优点是:

  • 增加灵敏度;

  • 扩大检测范围;

  • 确保抗原过剩下的可靠性;

  • 缩短检测时间。


由于是全程散射光变化的监视,可以进行每一段时间内的读数变化计算。按照速率变化,确定建立整个动态变化需要的检测窗口的点数。

图14、VlinIntegral曲线

 

Logit-log曲线


对散射比浊结果的数学处理,很多应用了Logit-Log曲线。将标准品浓度(x)与对应散射光强度(y)各自取自然对数(In),绘制在In x和In y图上。由图上可看到随着分析物浓度的上升,检测散射光强度的变化。如图7-24。该图也称为Logit-Log函数。

图15、Logit-Log函数图


该图表示了检测散射光强度y,与各个校准品浓度C的关系。因为采用了互相取对数表示,反映了免疫反应连续的信号级数变化。

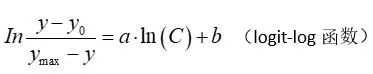
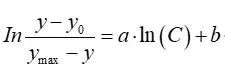
如果logit-log曲线很好,可进行以下计算:

式中:y为检测信号bit值;C为浓度值;y0为最小计算信号;ymax为最大计算信号;a为斜率;b为截距。


y0、ymax、a和b均由电脑计算出来的参数。参考曲线的趋向可由这四个参数描述。

 

使用Logit-Log函数,可以可靠、快速、简便地计算出被检测蛋白质浓度。所以,这个计算方法优于其他评估方法。

如果将

绘制为ln(c)与其的关系,这两个对数间应该呈直线关系。

图16、Logit-log函数图


通过逐步统计优化调整曲线,使统计值更好地接近检测值,达到最佳状态下,确定a和b,最后确定四个参数。


为了确定参考曲线的有效性,检测系统根据每一个参考曲线点的赋值浓度,计算出数学拟合曲线的百分偏移。如果这个百分偏移的均值,大于该分析物规定的最大偏离值(如5%),则这条估计的参考曲线为无效。需要重新检测估计。

TO BE CONTINUED

声明:
1、凡本网注明“来源:小桔灯网”的所有作品,均为本网合法拥有版权或有权使用的作品,转载需联系授权。
2、凡本网注明“来源:XXX(非小桔灯网)”的作品,均转载自其它媒体,转载目的在于传递更多信息,并不代表本网赞同其观点和对其真实性负责。其版权归原作者所有,如有侵权请联系删除。
3、所有再转载者需自行获得原作者授权并注明来源。

最新评论

关闭

官方推荐 上一条 /3 下一条

客服中心 搜索 洽谈合作
返回顶部