立即注册找回密码

QQ登录

只需一步,快速开始

微信登录

微信扫一扫,快速登录

搜索
小桔灯网 门户 资讯中心 检验前沿 查看内容

技术突破!遗传病胚胎检测一“镜”到底:一体化PGT=PGT-A+PGT-M+PGT-SR

2022-10-3 01:55| 编辑: 小桔灯网| 查看: 10339| 评论: 0|来源: 生物探索

摘要: 染色体异常是造成人类胚胎低着床率、妊娠失败和出生缺陷的重要原因。自然妊娠的早期流产率约为15%-20%,体外受精-胚胎移植(In vitro fertilization and embryo transfer,IVF-ET)的早期流产率约为25%,其中胚胎染 ...


染色体异常是造成人类胚胎低着床率、妊娠失败和出生缺陷的重要原因。自然妊娠的早期流产率约为15%-20%,体外受精-胚胎移植(In vitro fertilization and embryo transfer,IVF-ET)的早期流产率约为25%,其中胚胎染色体异常约占40-50%,新生儿染色体异常的发生率为0.5%-1%。对于患有染色体异常、单基因疾病、不明原因反复自然流产和植入失败的患者或其家属,在接受遗传咨询后,可能会建议他们接受来自多个PGT平台的胚胎检测,例如PGT-A&PGT- M,PGT-A&PGT-SR,甚至PGT-A&PGT-M&PGT-SR,以避免复发性流产和后代罹患遗传病。目前的PGT-A/M/SR是由不同的技术平台执行的,其成本高、材料少、耗时长,推广受限。

 





PGT困境:多指征需多平台,临床需求难满足

 

胚胎植入前基因检测(Preimplantation genetic testing,PGT)能在胚胎植入子宫前对染色体数目和结构异常进行检测,摒弃异常的胚胎(单基因异常胚胎、染色体结构重排胚胎和非整倍体胚胎),选择正常的或不致病的胚胎植入母体子宫,可有效地降低流产率、提高妊娠率、减少有缺陷或严重遗传疾病新生儿的出生

PGT技术可有效提高胚胎种植率和妊娠率,降低流产率,防止遗传性疾病患儿的出生。PGT包括三个方面的检测,胚胎植入前遗传学筛查(PGT for aneuploidy,PGT-A)、植入前胚胎单基因遗传学检测(PGT for monogenic/single gene defects,PGT-M)和植入前胚胎染色体结构变异遗传学检测(PGT for structural rearrangements,PGT-SR)。多种分子生物学技术和分子遗传学技术可用于染色体遗传检测和分析,包括FISH(Fluorescence in situ hybridization)技术、PCR(Polymerase chain reaction)技术、aCGH(Array-based comparative genomic hybridization)技术、SNP-array(Single nucleotide polymorphism array)技术和NGS(Next Generation Sequencing)技术。

目前,PGT一体化解决方案主要有Karyomapping、Haplarithmisis、OnePGT、MARSALA、MaReCs、Haploseek、一体化cPGT、三重扩展分析、单基因缺失检测、无创PGT、长读测序等(表1)。OnePGT主要使用RRGS方法通过基于读取计数的方法评估非整倍性和结构重排,并通过基于SNP的单倍型检查单基因疾病。虽然可以从OnePGT数据中推断出三倍体、单倍体和UPD,但OnePGT软件并没有自动提供这些信息;Haploseek平台适用于所有临床PGT应用(PGT-A/M/SR)和de novo突变,在家庭成员信息完善的情况下,可成功应用于近亲夫妇;基于WGS的一体化cPGT并没有降低测序覆盖率,而是利用另一种策略通过将胚胎样本的测序深度降低到4倍来降低测序成本。它对PGT-A采用通用读取计数分析,同时对PGT-SR(包括平衡易位)和PGT-M使用单倍型推导;另一种基于SNP阵列的综合性PGT已被开发出来,它也检测到非整倍体、CNV、单基因突变和平衡易位,但没有说明CNV和嵌合体的起源。其PGT-A和CNV分析依赖于SNP等位基因频率和Log-R比率,而PGT-M和PGT-SR利用连锁分析。然而,SNP阵列受限于其固定数量的探针。

表1一体化PGT解决方案

数据来源:[1]制图:生物探索编辑团队

目前为止,没有一项技术可以在一个工作流程里用一组试剂对一份胚胎样本完成三种染色体异常的检测和分析,同时区分染色体平衡易位者的正常型胚胎和易位携带型胚胎。为了克服一体化PGT相关的障碍,应用专家正在寻求将PGT-A、PGT-M和PGT-SR结合在单一检测中。

 





HaploPGT:一体化PGT检测技术可实现多指征同时检测

 

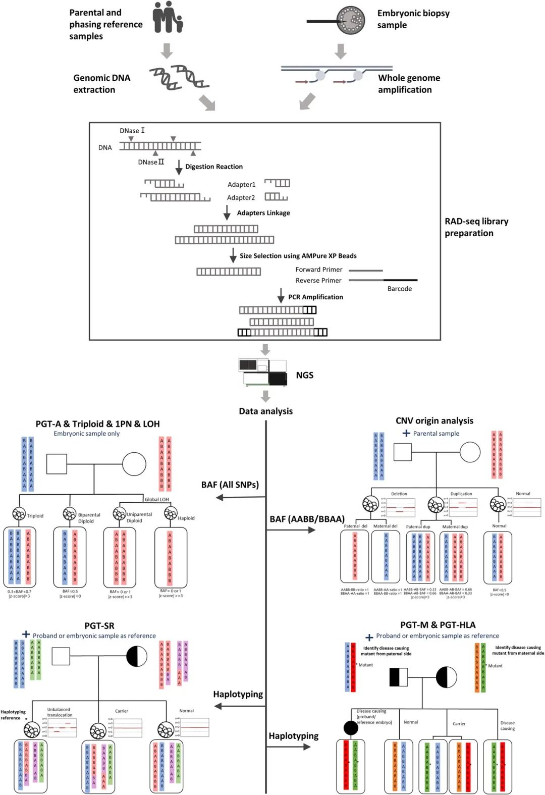
2022年9月6号,国家人类干细胞工程研究中心遗传部、中信湘雅生殖与遗传医院、长沙市发展与致癌国际科技合作基地、贝康医疗、中南大学和上海交通大学联合研究团队在Human Reproduction发表题为“A novel multifunctional haplotyping-based preimplantation genetic testing for different genetic conditions”的研究成果(图1)[2]。研究提供了一种多功能的基于单倍型的胚胎植入前遗传学检测平台,用于检测不同的遗传状况

图1 研究成果(图源:[2])

此项研究收集了来自43个家系的188个胚胎样本,并全部用HaploPGT平台进行了检测,样本大部分遗传异常都是事先通过不同的常规PGT方法确定的。仅携带结构重排的有12个家庭(115个胚胎),其中9个家庭接受了植入,5个家庭的ART分娩结果正常,7个家庭仅携带单基因疾病(26个胚胎),3个家庭同时携带结构重排和单基因疾病(26个胚胎)。从21个家庭中收集了12个单核受精卵(1PN)样本和9个疑似三倍体样本。

结果发现:

 

01
80M基因组数据可平衡HaploPGT的成本和准确性


 

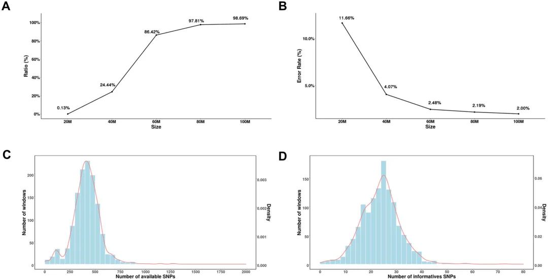
在8000万条reads(80M)的基因组数据中,包含两个或更多信息性单核苷酸多态性(SNP)位点的窗口(100万个碱基对(Mb))比例为97.81%,同时基因分型错误率稳定在较低水平(2.19%);此外,信息单核苷酸多态性在基因组中分布均匀,建立了全基因组单倍型(图2)。因此,选择80M来平衡HaploPGT中的成本和准确性。

图2 不同大小测序数据以及80M数据单倍型的SNP分布(图源:[2])

 

02
HaploPGT能识别异常胚胎,甚至可区分亲本来源


 

测序数据覆盖率低但读取深度高,可以准确检测全基因组的SNP,从而利用所有SNP的BAF来识别三倍体、二倍体和LOH。HaploPGT能够识别三倍体、全杂合子和部分杂合子缺失的异常胚胎,甚至能够区分镶嵌和非镶嵌胚胎中拷贝数变异的亲本来源(图3)。

图3 检测三倍体、双亲二倍体、单倍体和LOH(图源:[2])

 

03
HaploPGT与PGT检测的可用结果100%一致


 

此外,通过对43个家族的188份胚胎样本进行回顾性分析,HaploPGT与PGT检测参考方法(包括PGT-A、PGT-M、PGT-SR和PGT-HLA)的可用结果显示100%一致。

图4 通过单倍型区分胚胎中的染色体重排(图源:[2]

此项研究开发了一种命名为HaploPGT的一体化PGT检测平台。HaploPGT对囊胚活检样本的RAD-seq数据进行拷贝数分析、BAF分析和单倍型分析,以执行PGT-A、PGT-SR、PGT-M和其他扩展应用。HaploPGT具有以下优势:(i)WGS所需的数据量减少了,而可用于构建单倍型的有效SNP数量就足够了;(ii)可以通过通用工作流程检测父母、先证者和胚胎的单倍型;(iii)测序数据量非常少,工作流程通用,PGT-A、PGT-M和PGT-SR大大降低了成本、材料、复杂性和操作时间;(iv)可以展示其在其他功能上的应用,例如检测1PN、三倍体、镶嵌胚胎的镶嵌比例或异常CNV的父母来源。以上胚胎状况均在一次测试中展示,可以为医生选择更好的胚胎进行移植或进行科学研究提供更多信息。

图5 HaploPGT概述(图源:[2]

HaploPGT是一种高效且具有成本效益的检测平台,在检测遗传状态方面具有很高的临床价值。该平台可以促进PGT在ART中的应用,提高妊娠率,减少遗传病患儿的出生。尽管HaploPGT可以带来许多好处,但它仍然需要更多的家庭成员信息来推断亲本单倍型,以识别受试胚胎的平衡易位和单基因突变。就PGT-SR而言,额外的家族成员可能是具有不平衡易位的参考胚胎。PGT-M通常需要先证者。在这两种情况下,祖父母或父母兄弟姐妹的基因组信息可能有助于理论上的单倍体分型。另一个限制是HaploPGT无法区分单倍体和由单倍体复制产生的二倍体,但它能够识别胚胎基因组中杂合性的部分丢失。此外,重排断点的位置和突变位点的情况很复杂,这意味着可能无法完全检测到部分遗传病。

撰文|文竞择

排版|风立宵

End

参考资料:
[1]Volozonoka L, Miskova A, Gailite L. Whole Genome Amplification in Preimplantation Genetic Testing in the Era of Massively Parallel Sequencing. Int J Mol Sci. 2022 Apr 27;23(9):4819. doi: 10.3390/ijms23094819. PMID: 35563216; PMCID: PMC9102663.
[2]Xie P, Hu X, Kong L, et al. A novel multifunctional haplotyping-based preimplantation genetic testing for different genetic conditions. Hum Reprod. 2022 Sep 6:deac190. doi: 10.1093/humrep/deac190. Epub ahead of print. PMID: 36066440.


声明:
1、凡本网注明“来源:小桔灯网”的所有作品,均为本网合法拥有版权或有权使用的作品,转载需联系授权。
2、凡本网注明“来源:XXX(非小桔灯网)”的作品,均转载自其它媒体,转载目的在于传递更多信息,并不代表本网赞同其观点和对其真实性负责。其版权归原作者所有,如有侵权请联系删除。
3、所有再转载者需自行获得原作者授权并注明来源。

最新评论

关闭

官方推荐 上一条 /3 下一条

客服中心 搜索 洽谈合作
返回顶部