立即注册找回密码

QQ登录

只需一步,快速开始

微信登录

微信扫一扫,快速登录

搜索
小桔灯网 门户 资讯中心 感染诊疗 新冠杂谈 查看内容

研报丨新冠自测或将打开IVD新的增长极?

2022-4-1 10:15| 编辑: 沙糖桔| 查看: 2418| 评论: 0|来源: IVD分享库

摘要: 01谈谈新冠病毒那些事新冠病毒变异毒株分类2019年底新冠疫情爆发,2020年1月下旬起蔓延至全国。随后数月,新冠疫情席卷全球。随着时间的推移,所有病毒的基因组都会发生突变,作为RNA病毒,新冠病毒的基因组更易发生 ...


01

谈谈新冠病毒那些事


新冠病毒变异毒株分类

2019年底新冠疫情爆发,2020年1月下旬起蔓延至全国。随后数月,新冠疫情席卷全球。随着时间的推移,所有病毒的基因组都会发生突变,作为RNA病毒,新冠病毒的基因组更易发生突变,有一些突变可能会影响病毒的传播力、致病性、疫苗效果等,根据病毒的危险程度,世界卫生组织(WHO)将新冠突变体分为关切变异株(Variants of Concern,VOC)和关注变异株(specific Variants of Interest ,VOI),其中,关切变异株对全球疫情影响最大。


世界卫生组织对新冠变异毒株分类依据


目前世卫组织将5种新冠病毒变种列为关切变异株,分别是:最早在英国发现的阿尔法(Alpha )、南非发现的贝塔(Beta)、巴西发现的伽马(Gamma)、印度发现的德尔塔(Delta)以及南非发现的奥密克戎(Omicron);此外,有两种新冠病毒变种被列为的关注变异株,分别是:最早在秘鲁发现的拉姆达(Lambda)和哥伦比亚发现的缪毒株(Mu)。


5种新冠关切变异株(VOC)


2种新冠关注变异株(VOI)


1、Omicron变异毒株成为全球新冠主要流行毒株

全球新冠病毒基因组抽样的数据显示,从2019年12月14日至2022年3月19日,Delta 和Omicron的变异毒株数量目前明显高于其他变异毒株。


全球新冠病毒基因组流行病学研究


根据Nextstrain 的数据, Alpha是初期变异毒株的主要传播者,随后,具有更强传播力的Delta毒株在印度快速爆发,2021年11月26日,世界卫生组织将南非发现的B.1.1.529变异株定义为第五种“关切变异株”,取名希腊字母Omicron(奥密克戎)变异株,目前,在全球新冠感染者中,Omicron 已经成为传播能力超过其他四种VOC变异毒株的最强变异株,截止到2022年3月21日,在美国、英国、德国、法国、加拿大、西班牙、澳大利亚等国家,Omicron的流行占比均已超过98%。


值得一提的是,2022年3月8日,包含Delta和Omicron突变特征的Deltacron突变体被首次证实,目前暂时还没有证据显示这种重组毒株是否会在传染性和严重程度上有所改变,更多详细的研究仍在进行中,我们也将持续关注。


Omicron 在多国占比达98%以上



2、现有研究表明:Omicron传染力强,致病性弱

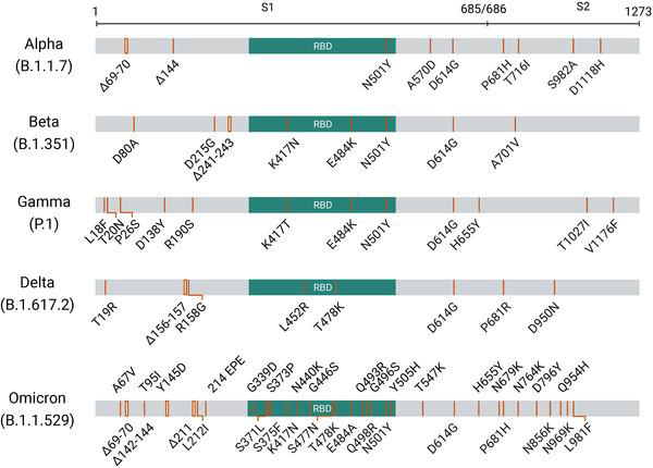
Omicron毒株之所以备受关注,主要是因为它携有大量基因突变,下图表明,Omicron同时具有前4个VOC变异株Alpha(阿尔法)、Beta(贝塔)、Gamma(伽玛)和Delta(德尔塔)刺突蛋白的重要氨基酸突变位点,这些突变可能会导至病毒的传染性和逃避疫苗免疫的能力增强。


Omicron同时具有前四种VOC变异株刺突蛋白的重要氨基酸突变位点


相比于Delta,Omicron 的刺突蛋白具有更多突变


Omicron 和Delta 的特点对比



02

新冠抗原检测有何技术优势以及新冠自测推行必要性?


1、技术原理分析

新型冠状病毒肺炎(新冠肺炎,COVID-19)为新发急性呼吸道传染病, 已成为全球性重大公共卫生事件。鉴于目前香港疫情反弹,国内不同城市仍有不同程度的疫情定点爆发,而新冠病毒持续变异,传播力强、致病性强、发病进程快,因此快速有效的病毒检测对病情的防控显得尤为重要。国内外科研机构和企业也陆续开发了一系列检测方法来满足SARS-CoV-2病毒检测的应急需求。目前获得我国国家药品监督管理局批准上市的SARS-CoV-2 病毒检测试剂盒有83个,其中,核酸检测试剂盒34个,抗体检测试剂盒30个,抗原检测试剂盒19个 。新冠病毒的诊断市场主要包括以荧光PCR 的方法为主流的分子诊断和以免疫层析法、化学发光免疫分析法为主流的免疫诊断两大细分领域。


1.1 分子诊断

分子诊断的检测对象通常是新冠病毒核酸的特异性基因序列片段。当前国内广泛应用的新型冠状病毒分子检测方法是实时荧光PCR核酸检测,其特点是高特异性、高灵敏度和感染前期可检测,是全球公认的确诊新冠肺炎感染的金标准。该技术在普通PCR基础上加入荧光染料或荧光标记探针来实现对进程的实时检测。目前,新冠病毒核酸检测试剂一般检测基因及核衣壳蛋白(nucleocapsid protein,N)基因双靶标,也有单靶标(ORF1ab)和三靶标(ORF1ab、N 和 E)检测试剂。除此之外,其他分子诊断方法包括数字PCR、等温扩增技术、基于CRISPR/Cas9 的诊断方法、生物传感器等方法正在开发和验证中。


分子诊断相关技术原理


基于荧光定量PCR的分子诊断方法的工作流程包括:1)通过鼻咽或口咽拭子收集疑似新冠肺炎患者的样本;2)保存和处理拭子,以保持病毒RNA的完整性;3)对SARS-CoV-2热灭活和提取RNA;4)病毒RNA逆转录为双链cDNA;5)PCR扩增和实时荧光信号检测;6)对检测结果进行分析。


荧光定量PCR 诊断方法的工作流程

声明:
1、凡本网注明“来源:小桔灯网”的所有作品,均为本网合法拥有版权或有权使用的作品,转载需联系授权。
2、凡本网注明“来源:XXX(非小桔灯网)”的作品,均转载自其它媒体,转载目的在于传递更多信息,并不代表本网赞同其观点和对其真实性负责。其版权归原作者所有,如有侵权请联系删除。
3、所有再转载者需自行获得原作者授权并注明来源。

最新评论

关闭

官方推荐 上一条 /3 下一条

客服中心 搜索 洽谈合作