立即注册找回密码

QQ登录

只需一步,快速开始

微信登录

微信扫一扫,快速登录

搜索
小桔灯网 门户 资讯中心 肿瘤诊疗 查看内容

千亿癌症早诊早筛市场,多癌联检谁与争锋!

2021-9-28 14:06| 编辑: Longcj525| 查看: 4895| 评论: 0|来源: IVD资讯

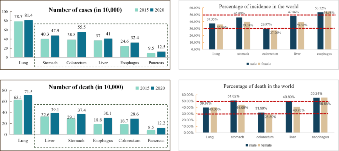
摘要: 消化系统肿瘤是中国最重的负担根据世界卫生组织国际癌症研究机构(IARC)最新发布的《2020年全球最新癌症负担数据》显示:2020年全球新发癌症病例1929万例,其中中国新发癌症457万人,占全球23.7%,高居全球第一。从 ...

消化系统肿瘤是中国最重的负担

根据世界卫生组织国际癌症研究机构(IARC)最新发布的《2020年全球最新癌症负担数据》显示:2020年全球新发癌症病例1929万例,其中中国新发癌症457万人,占全球23.7%,高居全球第一。从最新的数据来看,前十大癌症有5种属于消化系统肿瘤,且发病人数与死亡人数逐年递增,胃肠道癌占中国癌症相关死亡人数的45%,全球几乎一半的胃癌、食管癌和肝癌的新增病例和死亡病例在中国。中国消化系统肿瘤负担极重,承受着巨大的癌症发病率和死亡率负担。

提高癌症防治认知提升早筛早诊意识,其中癌症的早筛早诊是降低癌症负担的重要举措。



传统肿瘤检测的现状及局限

现有的癌症检测缺乏精准便捷的方法,主要依赖于内镜或者影像学,肿瘤标记物作为补充手段,目前尚没有可一次性检测所有消化系统癌症的方式。


在传统的消化系统癌症筛查手段中,内镜检查侵入性强、患者依从性低,影像学检查分辨率不足、难以区分癌症与其它病变,肿瘤标志物检查则灵敏性、特异性较差。随着液体活检技术的发展,血液样本作为接受度更高的样本,无疑成为更好的选择。然而目前市场上成熟的血液检测产品以单个癌种检测为主,尚没有血液检测方式可以对多个消化系统癌症进行早期联合检测。
 
新方法:基于血液DNA甲基化检测可同时检测多个癌种

近日,美国贝勒大学医学中心在clinicalcancer research上发表了一篇文章:EpiPanGIDx: A cell-free DNA methylation fingerprint for the early detection ofgastrointestinal cancers。
 


实验人员通过公共数据库,收集并研究了450K甲基化芯片数据共1781个样本,包括结直肠癌CRC、肝癌(HCC)、食管鳞状细胞癌(ESCC)、胃癌(GC)、食管腺癌(EAC)和胰管腺癌(PDAC)六种不同的胃肠道癌症。

通过研究每种胃肠道癌症的肿瘤和正常组织的数据,最终通过对六种GI癌症全基因组的DNA甲基化研究确定了一种非侵袭性血浆DMR panel EpiPanGI Dx模型,该模型可以一次性全面检测GI癌症,还具有揭示组织起源的能力,更能够高精度预测所有GI癌症的组织来源。
 


试验结论:基于血液DNA甲基化检测可有效发现癌症并精准定位癌种。然而,虽然基于NGS技术的甲基化检测可以精准定位癌种,但样本处理复杂,且检测耗时长,成本高昂,单个癌种的检测往往单价较高。
 
艾米森cfDNA甲基化助力消化系统五癌联检

1. cfDNA甲基化检测的为癌症早筛提供有力条件
人外周血中含有来自于全身各个器官的循环游离DNA(Circulatingcell-free DNA,cfDNA),肿瘤细胞凋亡、坏死过程中会向外周血中分泌大量DNA片段(Circulating tumor DNA,ctDNA),因此癌症患者外周血中的ctDNA含量远高于健康人,且包含与肿瘤发生发展相关的基因改变。不同基因的甲基化修饰能够预示不同器官的癌变,并可根据循环肿瘤DNA(ctDNA)甲基化特征追踪到肿瘤原发部位,因此DNA甲基化已经成为目前癌症筛查的主要研究方向。
 


2.基于血液DNA甲基化检测或成有效解决方案
经过多年技术积累,反复验证数千例临床样本,艾米森新推出了基于血液样本的消化系统五癌联检产品,艾消安TM。

艾消安TM产品具有以下优势:
 
一次采血,排除五癌风险
只需要一次采血10mL,即可实现对食管癌、胃癌、结直肠癌、肝癌、胰腺癌的五癌联合检测,五种癌症综合灵敏度高达94.5%,特异性达到92.0%,方便快捷,覆盖面广。
 
完全无创,适用广泛
取样方式便捷,适用于不愿选择内镜或内镜禁忌的人群。
 
标准流程,精准筛查
检测过程自动化,更高效更便捷,检测流程程序化,检测结果更稳定!


标准化检验流程如下:
1. 血浆分离
采用cfDNA专用采血管,确保样本中的cfDNA不降解,通过离心分离血浆

2. 全自动提取转化
使用配套的血浆/血清游离DNA提取试剂盒和核酸纯化试剂盒高效提取血浆中的cfDNA,并且可以适配全自动核酸提取仪

3.上机检测报告解读
上机检测,当日出报告,排除无癌风险,明确溯源部位。



艾米森:凭借强大“靶点甄别力”和完善的癌症早筛技术平台布局多元化优势产品

近年来,艾米森建立了完善的肿瘤早筛早诊技术平台,甲基化导航技术让产品开发有的放矢,精确高效。产品布局上,在不同的肿瘤类型上重兵投入,艾米森在消化系统肿瘤、妇科肿瘤、泌尿系统肿瘤以及泛癌种早筛上进行了多元化产品布局,实现各癌种的精准诊断。目前已累计获得45多项专利。在产品管线的完整度和丰富度上具备领先优势。

艾米森多元化产品布局

关于艾米森生命

艾米森成立于2015年,专注于全球恶性高发肿瘤早诊早筛,分别在北京、深圳、苏州、武汉等地设置分子公司,并致力于肿瘤早诊早筛技术产品的全球化推广。产品系列涵盖消化系统肿瘤、妇科肿瘤、泌尿系统肿瘤与泛癌等,是肿瘤早诊早筛领域产品系列最丰富的企业之一。是业内唯一对外技术授权Liensce-out的肿瘤早诊早筛企业,并获得多家产业上市公司投资。

艾米森公司专利超45项,PCT专利多项。荣获创业湖北冠军、中国科技创新创业大赛(湖北)生物医药第一名、中国创翼”金翼奖“、深圳南山“创业之星”生物医药决赛冠军、深圳南山“创业之星”全行业决赛冠军。艾米森公司被评为高新技术企业、瞪羚企业、小巨人企业、细分领域隐形冠军等。
声明:
1、凡本网注明“来源:小桔灯网”的所有作品,均为本网合法拥有版权或有权使用的作品,转载需联系授权。
2、凡本网注明“来源:XXX(非小桔灯网)”的作品,均转载自其它媒体,转载目的在于传递更多信息,并不代表本网赞同其观点和对其真实性负责。其版权归原作者所有,如有侵权请联系删除。
3、所有再转载者需自行获得原作者授权并注明来源。

最新评论

关闭

官方推荐 上一条 /3 下一条

客服中心 搜索 洽谈合作
返回顶部