立即注册找回密码

QQ登录

只需一步,快速开始

微信登录

微信扫一扫,快速登录

搜索
小桔灯网 门户 资讯中心 企业动态 查看内容

最新!智慧科研新突破 DxAI智研平台诞生首篇国际期刊论文

2021-9-17 10:42| 编辑: 沙糖桔| 查看: 3740| 评论: 0|来源: MedTrend医趋势

摘要: 作为秉持本土化创新理念的企业,贝克曼库尔特始终致力运用人工智能等前沿技术助力疾病研究和赋能临床,并于2020年与深睿医疗联合发布中国检验行业首个具备AI算法的大数据科研平台——DxAI智研平台,帮助客户提升复杂 ...


作为秉持本土化创新理念的企业,贝克曼库尔特始终致力运用人工智能等前沿技术助力疾病研究和赋能临床,并于2020年与深睿医疗联合发布中国检验行业首个具备AI算法的大数据科研平台——DxAI智研平台,帮助客户提升复杂多参数检验和医学研究的效率,助力产出高价值的科研成果,为智慧医院建设贡献力量。

近日,中山大学附属第一医院检验科陈培松博士与妇科陈明教授使用DxAI智研平台对卵巢癌相关课题数据进行分析,并在知名国际期刊《Journal of Translational Medicine》*发表相关科研成果论文——Chen et al. J Transl Med (2021) 19:369 。


该论文是DxAI智研平台应用于医学检验科研以来,成功在国际期刊上助力发表的第一篇SCI论文。

 

▲DxAI智研平台首篇助力发表论文

 


DxAI智研平台赋能卵巢癌检测新指标


目前,卵巢癌在女性患者中的发生率和致死率居高不下,仅次于宫颈癌,对于卵巢癌的早期发现和及时临床治疗和预后是患者治疗的关键。该论文展示了通过使用DxAI智研平台在卵巢癌早期诊断方法学探索方面取得的成果,并评估了低覆盖度全基因组测序(LCWGS)方法在卵巢癌诊断中的可用性。


论文创新性地将LCWGS方法应用于卵巢癌检测,针对肿瘤循环DNA检测设计了一套包括检测方法、生信分析流程和风险指数计算在内的整体解决方案,提出了一种卵巢癌无创检测的新指标,该指标的筛查和诊断效果优于现有的实验室指标


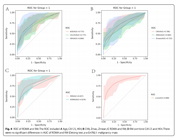
论文使用DxAI智研平台对患者病理学和FIGO分期总结、临床指标的差异性分析、Spearman 相关性分析探索常见的肿瘤标志物和LCWGS指标之间的相关性,并使用了DxAI智研平台内置的Delong检验比较ROMA和RM指数之间是否有显著性差异,使用平台对数据进行了可视化分布,包括各项指标在不同卵巢癌分期中的分布。

 

▲卵巢恶性肿瘤风险算法[ROMA指数]和恶性肿瘤风险算法[RM指数]的ROC曲线比较

 

 

直击科研痛点 AI引领诊疗新思路


与当代科学的整体发展潮流一致,当代医学研究也从最初的实验归纳、理论推理、模拟仿真,逐渐迈向了数据密集型科学发现的新阶段。而如何对海量数据进行有效的处理并从中提取有意义的新发现,已经成为数据密集型科学研究的痛点与难点。


引入DxAI智研平台后,研究者可以利用多种统计工具和机器学习算法有效地处理海量数据,极大地提升复杂多参数检验和医学研究的效率,运用AI算法和智能分配的算力来破解多因素关联性建模的难点,从大数据中发现新的研究方向、新的风险评估模型、新的诊疗模型等,进而产生新的诊疗方法、方案和标准,加速推进医学检验和临床诊疗的发展。

 

▲人工智能检验医学应用范式图谱

 

截至目前,DxAI智研平台已在国内23家顶级医院部署使用,有多个科研项目在快速推进当中。今后,贝克曼库尔特将持续发挥创新优势,联合行业内领先的合作伙伴,运用前沿技术助力各种疾病研究和医疗应用场景开发,与检验和临床专家们共同进步,携手推动医学检验行业发展!

 

 *《Journal of Translational Medicine》杂志,影响因子为5.531,是一份开放获取的期刊,发表文章侧重于从人体实验中获得的信息,以优化基础科学和临床科学之间的交流。


点击左下角“阅读原文”了解更多信息。


· END ·


声明:
1、凡本网注明“来源:小桔灯网”的所有作品,均为本网合法拥有版权或有权使用的作品,转载需联系授权。
2、凡本网注明“来源:XXX(非小桔灯网)”的作品,均转载自其它媒体,转载目的在于传递更多信息,并不代表本网赞同其观点和对其真实性负责。其版权归原作者所有,如有侵权请联系删除。
3、所有再转载者需自行获得原作者授权并注明来源。

最新评论

关闭

官方推荐 上一条 /3 下一条

客服中心 搜索 洽谈合作
返回顶部