立即注册找回密码

QQ登录

只需一步,快速开始

微信登录

微信扫一扫,快速登录

搜索
小桔灯网 门户 资讯中心 检验杂谈 查看内容

【冯仁丰】学习EP05-A3文件的体会 4

2021-9-8 13:38| 编辑: 沙糖桔| 查看: 3485| 评论: 0|来源: 冯仁丰

摘要: 2014年美国临床和标准研究所(CLSI)重新改写了EP05标准文件,为EP05-A3文件。由于CLSI专家在该文件中说,这个文件不再用于临床实验室去建立实验室内检测分析物使用的检测系统的精密度性能。是专为厂商在形成检测系 ...

2014年美国临床和标准研究所(CLSI)重新改写了EP05标准文件,为EP05-A3文件。由于CLSI专家在该文件中说,这个文件不再用于临床实验室去建立实验室内检测分析物使用的检测系统的精密度性能。是专为厂商在形成检测系统后,去确定该检测系统的精密度性能。临床实验室从此之后,不需要再使用EP05文件了。因为CLSI已经发布了EP15-A3文件,专门用于临床实验室如何验证实验室的精密度性能,与厂商声明的精密度性能一致。CLSI强调这些文件已经减轻了临床实验室的负担,不需实验室进行复杂的实验,只需按照文件要求实验,然后使用计算机和专用软件,即可得出结果。可是,这些数据处理过程的原理是什么,似乎美国人不需要临床实验室了解!


仔细阅读EP05-A3和EP15-A3文件,这两个文件几乎一致。很重要的是,两个文件都采用了方差和方差分析处理实验结果数据。因此,我们必须要弄懂,方差是什么?


所以,看来阅读EP05-A3和EP15-A3文件,需要明确几个内容:


1、什么是方差和方差分析?


2、文件设计的实验方案的做法,与原EP05的不同在哪里?


3、文件设计的实验方案是如何使用方差进行数据处理的?


4、最后,如何得到实验室检测系统的不精密度性能?

 

经过认真学习,我大致上可以说一点学习体会。供大家参考。


今天要讲的是:什么是方差?


方差的名词,顾名思义是不是平方差?那么是什么平方差?可惜,从根上就错了!


我不懂的是,中国使用的统计都来自国外。那位第一位学习这个统计的专家,为什么将这个统计说成是“方差”?


我经过认真学习和阅读,才弄清楚,方差是“离均差平方和”的代名词!


在统计上,对一组数据的最初归纳总结是。先寻找一个集中趋势,即均值或中位数。为便于叙述,我就直接说成均值。


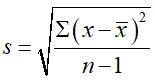
描述一组数据的第一个统计量是均值。它是这组数据的平均水平或集中趋势。除了需要均值外,还需要描述这组数据对于均值的分布离散程度。我们很自然就想到了标准差s。

标准差的分子部分,是我们熟悉的“离均差平方和”;分母是自由度(数据个数n -1)。


为什么我们不直接使用各个数据与均值离差和,来代表这组数据离开均值的离散程度?因为均值居中,较均值小的数据与均值相减差值为正;较均值大的数据与均值相减差值为负。相加时政府相消为0。因此,必须将各个数据与均值的差值平方后再相加,成为“离均差平方和”。这个数字确实反映了所有数据对于均值的离散程度。但是,这是全部数据差的平方和。为了与均值配合,使用时经常除以自由度(代表数据个数)后,再开方,使得该数据与均值计量单位一致。由此产生了标准差。


其实决定标准差大小的最主要变异成分是“离均差平方和”。因此,在统计上,不需要去计算出标准差,再去了解数据中各类变异的大小。直接使用“离均差平方和”进行数据的统计分析。这样的应用非常广泛,引出了“离均差平方和”分析。我不知道是哪位中国人,将这样的一个统计量说成是“方差”!“方”是平方,但“差”是什么?本应是离均差。如果通俗一点还不如称为“差方”,到有点道理。但这个统计量已经被前辈给了名字,就像一个孩子被父母,将这个“离均差平方和”孩子,叫做“方差”。全国人都这样叫了,只能这样!


因此,这里我再次要求临床实验室同道知道:统计中的方差,就是我们平时使用的标准差中的分子部分!


对一组数据的描述,完全可以使用均值描述这组数据的平均水平或集中趋势;也完全可以使用“离均差平方和”作为这组数据对于均值的离散程度!非常贴切!


EP05-A3文件中,几乎整篇文件都在描述这个“离均差平方和”!所以,从现在开始,我们需要去认识和使用它!


可惜的是,国内出版的各种与医学有关的统计书,没有一本能够供我们参考!因为,从来没有内容介绍,可以使用“方差”去估计某个检测系统的不精密度水平的!


因此,期望国内的医学统计书在未来能够增补改写。

 

我突然有一个奇想,将一组数据视为一个国家的老百姓,那个均值就是这个国家的皇帝。皇帝与老百姓间的差异,就像方差那样。如果方差越大,说明这个皇帝与老百姓的差异很大!皇帝不体贴老百姓,弄得怨声载道,那肯定方差非常大!皇帝再要做下去保不住了!


因此,方差反映了这个均值皇帝在治理国家的老百姓上,是否贴近老百姓?让老百姓平安过日子?是很重要的一个指标!一个皇帝还需要许多臣子,皇帝把各个大臣任命为各个部门的主管或官员,犹如是下一层次的均值。这个均值代表了某个部门或某个地方的大人物。他们与当地的百姓是否和谐?事事想到当地老百姓的利益,就使这个均值和当地百姓的各个检测值间的差异变小,方差随之减小!因此,在各个地方或各个部门主管的均值,与被管理的那些检测值间的差异大小,可以被分组的方差大小反映出来。所以,皇帝经常检查各个部门或各地官吏均值与他主管部门或地方百姓的“方差”,很快就了解了这些官员做得好不好。在一个总体下,各个需要了解的那个批内、批间、天间、或其他类型变异下,均值下的方差大小,都反映了各个变异的情况。这就是“方差”应用的价值。它不需要非计算为标准差,才去反映变异离散状态。我想这个例子可以充分说明“方差”使用的价值。

 

以上介绍的内容,由衷希望临床实验室同道给予指正。



声明:
1、凡本网注明“来源:小桔灯网”的所有作品,均为本网合法拥有版权或有权使用的作品,转载需联系授权。
2、凡本网注明“来源:XXX(非小桔灯网)”的作品,均转载自其它媒体,转载目的在于传递更多信息,并不代表本网赞同其观点和对其真实性负责。其版权归原作者所有,如有侵权请联系删除。
3、所有再转载者需自行获得原作者授权并注明来源。

最新评论

关闭

官方推荐 上一条 /3 下一条

客服中心 搜索 洽谈合作
返回顶部