立即注册找回密码

QQ登录

只需一步,快速开始

微信登录

微信扫一扫,快速登录

搜索
小桔灯网 门户 资讯中心 注册认证 查看内容

【冯仁丰】介绍2020年的ISO 17511文件第二版(15)

2021-4-21 10:31| 编辑: 沙糖桔| 查看: 6602| 评论: 0|来源: 冯仁丰

摘要: 这个微信我还继续介绍该文件中在叙述溯源性中的关键内容。从这里开始,我将向大家介绍,在ISO 17511第二版的文件中,是怎样详细地叙述一个校准等级的各个步骤的。第5章是计量溯源性校准等级的模式该章一开始的第5.1 ...


这个微信我还继续介绍该文件中在叙述溯源性中的关键内容。


从这里开始,我将向大家介绍,在ISO 17511第二版的文件中,是怎样详细地叙述一个校准等级的各个步骤的。


第5章是计量溯源性校准等级的模式


该章一开始的第5.1节,强调了描述计量溯源性的要素。要求厂商的IVD MD的校准等级应描述在厂商的技术文件中。在描述中,应包括下列要素:


5.1 描述计量溯源性的要素


IVD MD的校准等级应描述在厂商技术文件中。描述一个校准等级应包括以下要素:

a)被测量的定义。

b)描述校准和检测步骤的序列,每一步由MP和校准品组成,在校准函数中每一步被检测

   的“未知”样品(除了最后步骤)转而成为下一步/以后步骤(一个MP)的校准品。

c)RM(IVD MD校准品)内被测量设定值的不确定度估计,部署在校准等级(经典地与某个IVD MD一起)的最低水平,这样使得终端用户对预期样品(如,人样品、EQA物质、 或其他校准品)中报告值的合成标准不确定度做出估计。


注1 :描述的六个通用校准等级模式(5.2到5.7)是等级,可以由IVD厂商实施去支持各种被测量的计量可溯源的校准。在这些模式中,来自第一个(最高等级)校准物质和/或MP的“正确度”被携带到序列(通常是一个IVD MD)最后检测步骤被检测的最后物质(人样品)。


注2:描述的校准等级模式,是代表了近期技术状态,是广泛可用的技术,依据较高等级参考的可用性,可应用到被测量的特定级别。展现的模式,没有被预期包括所有可能性,没有排除其他可能性;可以描述更多的模式,去支持特定被测量和/或新技术。


注3:在校准等级中对特定被测量应用的水平(即MP和校准品对)数,是实施校准等级方的责任,提供了最高等级可用要素(如,RM和/或RMP)依然内含在最后等级中。包含在给定校准等级的特定计量水平的最后选择,取决于被测量的化学特性,最后结果检测的目标不确定度,和MP、校准品、和其他关联技术的可用性(如信息技术)。

 

接着,该章逐渐介绍各个不同的情况。在第5.2章中,专门介绍了具有参考检测程序(RMP)和一级参考物质(RM)的情况。这是在临床实验室中最好的条件,具有最高级的检测程序(方法)RMP,依赖于RMP去确定一级参考物质的值。什么才是RMP?在前面,我曾经介绍,参考检测程序是在所有检测程序中,唯一不使用任何参考物质“校准”的方法!样品使用这个类型的方法检测得到可靠结果。这是怎样一些的程序呢?


我想,开始介绍这个计量溯源性内容前,先说说先有鸡还是先有蛋的争论。这个争论有了很长很长的历史。因为鸡生蛋,但鸡又是从蛋里孵化出来的。究竟是先有鸡还是先有蛋,变成了一个绕不清楚的圈!当然,现在说应该是先有鸡。现在临床实验室对每个病人样品的检测,使用了检测系统。这些检测系统都必须以校准品校准后,方可对样品进行检测,确保检测结果可靠。但是,检测系统使用的校准品的校准值,必须要有一个另检测系统专门对校准品定值。因此,校准品的值需要有一个专门的检测方法(检测系统)为之定值。但这个检测系统在进行对校准品定值前,又必须有一个较高等级的校准品(或参考物质)为之校准后,方可用于对下一级的校准品定值。如此反复循环向上,究竟在检测溯源性上,最高等级的是某个参考物质?还是某个不需被校准的检测方法(程序)?


ISO 17511第二版文件在第5.2章叙述具有RMP和一级RM的校准溯源示意图中,是整个校准等级的最高等级。可参见以下的示意图。

图1—校准等级—完整计量溯源性到SI


该图中,图的左侧为溯源中各校准等级使用的参考物质,图的右侧为溯源中各校准等级使用的检测程序(检测方法)。请注意图右侧使用的检测程序的最上端,是该校准等级中最高的检测程序。


为了让大家对每个校准等级涉及内容有清楚的理解,以下我将该图从上开始按照校准等级逐段切下,进行详细介绍。

 


上图中右侧的这个方块内容为:p.1.为纯度评估或证实纯物质的适合目的的检测程序。如qNMR、称量法、基因序列。


这个p.1.方块内容中,第一个是定量核磁共振(qNMR)方法,操作简便,不需自身对照即可进行含量测定,准确度高,定性定量可同时进行,在药学领域中具有显著优势。包括中国在内的多个国家药典,均已将该技术作为法定标准收载。因此,说明qNMR是一个不需任何标准进行校准,即刻进行定性和定量检测的有效方法。第二个称量法,在前一篇微信中,我已经做了介绍。


对一个高纯度物质,如何确定它具有的纯度?不是如我们习惯的想法,即检测内含需要的纯物质量进行不断反复地检测。而是检测内含的杂质含量。经过无限次的杂志含量分析。确定该纯物质的含量为某个百分值。然后,以称量得到一定量的该物质;按照分析化学方法配制成一个标准溶液。这是当今用得非常多的做法。还有一个为基因序列检测。对一个核酸物质,通过能检测某个特定基因序列,可以推算出在单位重量的核酸物质内,具有的所需核酸量为多少。


这些检测程序可以确定作为一个一级检测程序(方法),对某个物质内含有的物质给予可靠地确定,使该物质成为计量溯源的物质中的最高等级参考物质(RM)。务请注意的是:在计量溯源链中,以英语小写字母p,代表程序;p.1即代表在溯源链上的第一个检测程序。p.2.将成为溯源链上的第二个使用的下一个等级的检测程序。以此类推。同样,在计量溯源性上,使用的参考物质,以英语小写字母m表示,再加上序列数字,如m.1.即为该计量溯源性链上的第一个参考物质;m.2.为溯源链上使用的第二个参考物质。以此类推。这样的表达在ISO 17511的第二版上非常强调。


因为文件要求,申报或申请审核的厂商体外诊断产品的计量溯源性文件中,必须按照这样的要求,对每一个校准等级使用的参考物质和参考程序予以标记,便于审核。因此,这个做法对全世界所有体外诊断厂商,在叙述自己产品具有计量溯源性时,都必须对每个校准等级使用了什么水平的参考程序、什么参考物质等详细地叙述和明确地标记。这对厂商是一个非常严格的要求。不得含糊。


接着,被p.1.确定的一级参考物质m.1.为有证一级参考物质(CRM)。它将用于为校准一级参考检测程序p.2.。这里,该p.2.检测程序其实就是,或以分析化学方法,以容量配制方法去配制出一级校准品的溶液m.2。或以如计数方法确定m.2.内参考物质的真实含量。

 


从m.2.起,将该物质用于校准参考检测程序p.3.。在图示中特别指出p.3.是为检测被测量的参考检测程序。


m.2参考物质与p.3.参考检测程序组合起来,为m.3.二级参考物质确定定值。m.3可以是一个参考物质;也可以是一组可互换的参考样品,如人样品组合/或混合样品。以m.2和p.3.组合对参考物质或一组可互换样品进行检测,对每个样品确定它们的参考值。


具体步骤可见以下图示:

 


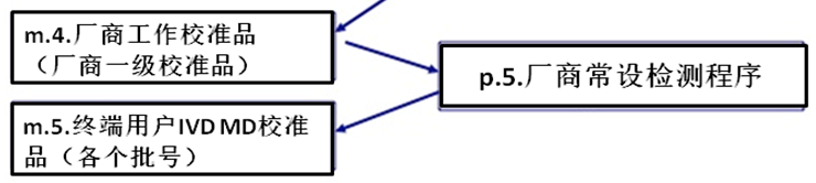
被m.2.和p.3.组合的系统,对m.3.二级参考物质定值后,目的是将m.3.在厂商那里,与p.4.的厂商选定检测程序组合,对m.4.厂商工作校准品定值。请参见下面的一段图示。


 

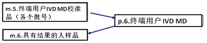
确定了m.4.厂商工作校准品(即厂商一级校准品)的校准值后,m.4.与p.5.的厂商常设检测程序组合,为厂商为用户提供的IVD MD内m.5.校准品确定校准值。



然后m.5.校准品与p.6.的终端用户的IVD MD(即厂商提供给用户的仪器、试剂、和检测程序组合的检测系统)组合,使用户对临床实验室检测病人样品,得到具有溯源性的可靠结果(m.6.)。


     

将上述的整个过程连在一起,就是第5.2.1节中,表示具有RMP和一级RM的校准等级 --完整计量溯源性到SI的图示(见上)。

 

在第5.2章中,对上面叙述的整个溯源性过程,涉及的内容还包括下列多个要求:


5.2.2 被测量的定义


被测量的定义应包括检测的SI单位,无论是基础的或是导出的量,到计量溯源性应涉及的。


示例1:

1)基础量:摩尔、公斤;

2)导出量:摩尔每立方米(= 毫摩尔每升)、g/kg(克每公斤)。


注1:在校准等级的不同步骤被检测的量,受被检测物质改变而变化。变化到被检测的量,经常会导至不同SI报告单位。


示例2:为可的松的有证一级RM纯度评估的质量平衡检测中,确定的是不纯物的质量分数(本例被检测的量),而不是可的松的质量分数,物质的纯度被规定为质量分数,使用单位 g/kg。对于其他RM为可的松的IVD MD用在校准等级的较低水平,如二级RM(如,CRM,或厂商工作校准品,被检测的是可的松的物质量浓度(在血清或其他体液中)和检测结果以相应SI单位表达(μmol/L)。


示例3:复杂被测量如人血清中的特定蛋白(如,白蛋白),在最高水平处的校准等级的检测量,经常是完整蛋白的纯度(如,质量分数,mg/g)。在校准等级的其他较低水平处,被测量经常是关注蛋白导出的特定决定簇或多肽的物质浓度量。在这样的情况下,被检测量在等级的不同水平处是不同的,在整个等级间各个RM的设定值将以不同SI单位表达。


注2:一些可检测量不可被表达为SI的七个基础量,但具有计数的性质[38]。示例是特定分子的个数(即计数)、特定细胞或生物分子实体的个数(如,一个特别核酸序列的拷贝数、或特定脂蛋白颗粒数)。完整描述被计数的量是基础。


示例4:CD4细胞数的每单位体积[40]


示例5:定义的KRAS核酸序列数每单位体积[41]


注3:通过相应的、有效的计数MP,为计数建立正式的溯源性到SI。(见ISO 20391,ISO 20395和[38]、[42])。


这里,我要请大家注意,在ISO 17511第一版中,没有承认计数的定量数据具有溯源性。但是在ISO 17511的第二版中,认可了诸如红细胞、白细胞等的细胞计数的检测程序定量结果,也被纳入了可以溯源的内容。

 

5.2.3 选择RMP


一级RMP和其他适合目的的MP(见图1,p.1,p.2)应依据检测原理,被展现了具有适合目的的性能,通过计量溯源性到某个SI检测单位、并具有最小可实现检测不确定度。在给定时间可出现多于一个一级RMP,为给定类型量一级校准品设定值。对于给定被测量从两个或更多一级RMP得到的值,不应有显著差异,在某些可信水平处规定的不确定度之内。


注:计数(enumeration-based)MP可形成一级RMP主题的基础,到一个被测量的详细描述,建立计数的选择性和完整性,和一个检测不确定度的声明。


示例1:为DNA拷贝数浓度的两个计数MP,没有要求校准标准的是流式细胞仪(FCM)和数字聚合酶链反应(dPCR)[41][43]


示例2:为细胞数浓度的两个计数MP,不要求校准标准的是显微镜镜检和FCM[40][42](流式细胞仪)。

 

5.2.4 一级RMP


被选择的一级RM(见图1,m.1)应是最可用(具体化)去实现检测单位、具最小可实现的相对检测不确定度(在图1中,缩略为%ruref)。一级RM应具有或是直接被一级RMP,或被适合目的的MP设定值,为了确认和/或纯物质纯度评估,如,qNMR、质量平衡、基因序列[38][39]。值的设定和为一级RM的文件,应符合ISO 15194。


注:一级RM(见图1,m.1)通常是高度纯化的,含有物理-化学上明确的分析物,评价了稳定性、成分完整性、和伴有证书(即,一个CRM)。


示例1:NIST的SRM 917b,为β-D-葡萄糖;在该物质中β-D-葡萄糖的质量分数是997.0 mg/g,扩展检测不确定度为0.2 mg/g。(被测量是在结晶葡萄糖物质中β-D-葡萄糖的质量分数,以mg/g表示)。


示例2:NIST的SRM 911b,为胆固醇;质量分数0.998 ± 0.001,依据科学判断和大量分析检测的评价,应用到这个CRM的认证过程。给出的不确定度大致为签发值的两个标准差(扩展不确定度是0.001,覆盖因子k = 2,给出的可信限水平大致为0.95)。


注:上述的两个参考物质(RM)是市售可用的产品。这些信息纯粹为这个文件用户的方便,不是被ISO认可的产品。

 

5.2.5 一级校准品


一级校准品(见图1,m.2)应是来自一级参考物质配制[m.1]的,使用了一级RMP(见图1,p.2)设定值。


注:经常的一级RMP是称量法,将称量的一级RM溶解于相应溶剂的称量中。


示例:尿酸的一级校准品,通过称量将纯尿酸的CRM溶解在溶剂中,例如 SRM 913b,由NIST赋值,其纯净材料中尿酸的质量分数认证值为0.998 kg / kg,扩展不确定度(置信度95%,k = 2)为0.002 kg / kg。


(我的注解:必须注意,这样的一级校准品的配制是决定以后溯源结果是否可靠的关键。一般来说这样的配制大多在国家或国际认可的实验室内实施。)

 

5.2.6 对二级RM或校准品定值


为被测量的某个相应RMP(见图1,p.3),应被用于为一个复杂基质的二级校准品或二级RM定值(见图1,m.3)。为该被测量的RMP(见图1,p.3)的文件,应使用ISO 15193要求。


注2:有多个RMP情况下,或多个参考实验室能为该被测量进行相同MP检测,EQA计划如IFCC检验医学的参考(校准)实验室的室间质量评估计划[44],可提供关于不同RMP和不同参考实验室间等同的有帮助的信息。


(我的注解:在前面的一级RM,可以是纯物质等。但只能在某个国际或国家认可的参考实验室使用。但是面临临床实验室检测的都是病人样品,是具有基质的样品。因此,从二级RM起,开始使用了含有基质的二级校准品,或者直接是一组病人样品。这样对这些校准品或一组病人样品确定定值后,将与病人样品间具有了互换性。这样对二级RM定值的检测过程,也一定在参考实验室实施。)这就是下面一节在强调和重视的内容。

 

5.2.7 二级RM的互换性


在互换性评估研究中确定了,二级校准品或二级RM(见图1,m.3)应与人样品是可互换的。


注:为实施互换性研究,参见CLSI EP30-A和其他发表的建议。


示例:NIST SRM 967a 为冰冻人血清的肌酐标准,有两个安瓿,分别具有签发值为0.0749 mmol/L和0.3427 mmol/L,是可互换参考物质的示例,可相应用于二级校准品(见图1,m.3)。被测量是冰冻人血清中肌酐物质浓度量,表达为mmol/L。这个物质的每个水平批准浓度值,是依据核素稀释液相层析/质谱(ID LC/MS)方法。

5.2.8 厂商选定的MP


厂商选定的MP(见图1,p.4)应组成了一个检测系统,在可用下,被一个或多个(可互换的)校准品或RM校准(见图1,m.3)。


示例:血浆可的松浓度,核素稀释气相层析-质谱(ID-GC/MS)方法可以是一个选定的MP。

 

5.2.9 工作校准品


厂商工作校准品(见图1,m.4)应具有按照厂商选定MP(见图1,p.4)设定的值,或(依据工作校准品的互换性特性),按照RMP(见图1,p.3)。二级(工作)校准品(见图1,m.4)应与人样品是可互换的,在互换性评估研究中(见4.5.5),厂商选定MP(见图1,p.4)和厂商常设MP(见图1,p.5)的比较确定的,或如果步骤(见图1,m.3)和(见图1,p.4)在校准等级中被取消,RMP(见图1,p.3)和厂商常设MP(见图1,p.5)的比较确定。


注1:厂商的工作校准品(见图1,m.4)有时被称为“厂商的一级校准品”、“自制校准品”、或“一级校准品批号”。


注2:厂商工作校准品通常是具有基质的物质,类似于预期由终端用户IVD MD检测的人样品。


注3:厂商经常使用临床样品组或系列人混合临床样品,作为工作校准品。

 

5.2.10 厂商常设MP


厂商常设MP(见图1,p.5)应确定一个MP,被一个或多个厂商工作校准品或其他可互换的基质校准品校准,被确认了分析选择性。

 

5.2.11 厂商终端用户校准品


厂商终端用户校准品(见图1,m.5)应具有按照厂商常设MP(见图1,p.5)或厂商选定MP(见图1,p.4)设定它的值,并被预期去校准终端用户IVD MD(见图1,p.6)。

 

5.2.12 终端用户校准品设定值的ucal


终端用户校准品(见图1,m5)设定值的ucal,应由厂商估计(见4.7),incorporating合并所有相应较高等级不确定度,如一级RM设定值的不确定度(uRef)(见图1,m.1),加上校准等级以后每个MP的不确定度,一直到厂商常设MP(见图1,p.5)。

 

5.2.13 终端用户IVD MD


终端用户IVD MD(见图1,p.6)应描述了被一个或多个终端用户校准品校准的检测系统。这个MP,在定义的被测量的校准等级中最后的MP,被用于检测人样品,并产生被测量的最后检测值,并具有被终端用户估计的报告值的合并标准检测不确定度,考虑了在确定的校准等级中每一个较高步骤中应计的所有已知检测不确定度。


声明:
1、凡本网注明“来源:小桔灯网”的所有作品,均为本网合法拥有版权或有权使用的作品,转载需联系授权。
2、凡本网注明“来源:XXX(非小桔灯网)”的作品,均转载自其它媒体,转载目的在于传递更多信息,并不代表本网赞同其观点和对其真实性负责。其版权归原作者所有,如有侵权请联系删除。
3、所有再转载者需自行获得原作者授权并注明来源。

最新评论

关闭

官方推荐 上一条 /3 下一条

客服中心 搜索 洽谈合作
返回顶部