立即注册找回密码

QQ登录

只需一步,快速开始

微信登录

微信扫一扫,快速登录

搜索
小桔灯网 门户 资讯中心 遗传缺陷 查看内容

全外显子测序可作为结构异常胎儿常规检测后的有力补充

2019-2-14 09:37| 编辑: 小桔灯网| 查看: 4108| 评论: 0|来源: 基因检测与解读

摘要: 背景介绍2-3%的新生儿会发生结构畸形,它占围产期死亡因素的25%,因为结构畸形经常导至流产,所以占比可能要更大。因为结构畸形胎儿通常没有先天异常的家族史,所以产前遗传咨询的难度很大,导至临床医生提倡对所 ...

背景介绍

2-3%的新生儿会发生结构畸形,它占围产期死亡因素的25%,因为结构畸形经常导至流产,所以占比可能要更大。因为结构畸形胎儿通常没有先天异常的家族史,所以产前遗传咨询的难度很大,导至临床医生提倡对所有孕妇进行超声检查,以排除产前出现的主要出生缺陷。结构异常的胎儿在非整倍体、染色体重排和单基因疾病方面具有更高的发生率。传统的染色体核型分析是检测染色体重排的经典方法,不同的文献报道诊断阳性率从5.4%到15.5%。基于芯片的分子细胞遗传学技术(如染色体微阵列分析(CMA))的开发使结构畸形胎儿阳性率提高了10%,主要是由于它可以检测到标准核型分析遗漏的更小的基因组病(如微缺失微重复综合征)。

 

大部分结构畸形的原因并不明确,随着测序技术的发展,全外显子测序已被证明是产后患者寻找病因的强大工具,平均诊断阳性率达到25%左右。这种技术也被逐步地应用到产前,Carss等对30例结构畸形、芯片检测阴性的胎儿进行全外显子测序,10%的患者找到致病原因。贝勒医学院杨亚平教授诊断出来自终止妊娠的11个神经系统异常胎儿中的6个,证明使用WES提高了诊断率。然而这些产前WES研究的样本量都太少,使用WES评估更大的样本量不仅可以提供更准确的诊断率,还可以提供其他信息,例如如何根据表型严重程度对亚组进行分类,这有助于鉴定致病变异。

 

病人入组

从2011年1月至2015年12月,由于在产前超声检查和/或磁共振成像中检测到胎儿结构畸形,共有3988名孕妇被转诊到广州市妇女儿童医疗中心的产前诊断中心。我们中心进行了超声检查和/或磁共振成像确认诊断。异常包括结构畸形,颈部半透明厚度≥3.5mm和囊性水肿。异常不包括孤立的超声软标记,如脉络丛囊肿,心脏或肠中的回声灶,增厚的颈部褶皱,缺乏鼻骨,单脐动脉或持续的右脐静脉。根据侵入性产前检测时的胎龄,使用绒毛膜绒毛取样,羊膜穿刺术和脐带穿刺术收集胎儿样品。

 

方法

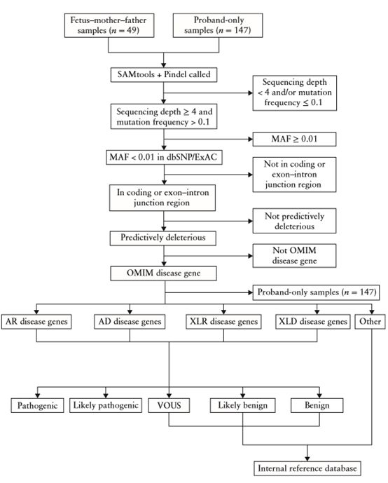
3988例患儿通过QF-PCR诊断常见三体(13,18,21,X,Y),然后进行核型分析。对于核型正常的胎儿进行高分辨率的芯片检测(cytoscanHD与750k),一共有1710例样本进行了CMA检测,对于新发的CNV通过FISH或Qpcr进行验证,同时对父母外周血DNA进行CMA检测与分析,有助于解读CNV和遗传模式。对部分样本进行全外显子测序,采用ACMG致病性评级进行分类。对于临床候选位点进行一代测序验证。

结果

核型分析

整个队列包括3978个单胎和10个双胎(其中一胎异常),3949例核型成功,18.2%(720/3949)胎儿有染色体异常,在这些异常中,70.7%为三体,21%为染色体重排,8.3%为既有数目异常也有结构异常。详细结果如下


 

CMA分析

1680例胎儿CMA检测成功,包括396例为多系统异常组、1284例为单系统异常组。在138例发现临床相关CNV,阳性率为8.2%(138/1680)。在这些阳性中,多系统异常组阳性率为12.6%(50/396),单系统异常阳性率为6.9%(88/1284)。22q11.21缺失为最常见的CNV占到12.3%(17/138).随后是1p36.33-p36.22缺失和17q12缺失。

详细结果如下



全外显子分析

196例核型与芯片结果正常的胎儿以及49对父母进行了全外显子测序,值得一提的是,所有接受WES的胎儿病例都与结构异常有关,包括中枢神经系统畸形,心血管系统,骨骼系统,消化系统和泌尿系统以及颅面畸形和多发畸形,但不包括颈部半透明厚度≥3.5mm,囊性水肿和其他超声软标记物。结果见上面的table 2,平均测序深度为102X,99.56%的目标区域大于10X。之前已知用高分辨率芯片对样本进行检测,所以未对WES进行CNV分析。59名胎儿检测到阳性变异,阳性率达到30.1%(59/96)。但是12个变异不能解释临床表型,因为被归类为意外发现,因此能够解释患者表型的致病位点阳性率为24%(47/196)。部分结果如下表


Trio阳性率为26.5%,先证者单人模式阳性率为23.1%,多系统异常的阳性率最高为30.8%,需要注意的是78.9%(75/95)的阳性都是新发突变导至的

 

讨论

本研究是目前样本量最大的通过核型,CMA和WES分析结构畸形胎儿遗传因素的研究之一。核型阳性率为18.2%,略低于其他文献报告,芯片阳性率为8.2%,略高于样本量最大的研究得出的结果6%。全外显子的阳性率为24%(47/196),远高于核型(18.2%)与芯片(8.2%)。Trio比单人模式获得更高的阳性率,得益于可以分析新发突变和复合杂合突变。

总结,该研究表明WES是一种有前景的方法,在核型分析和CMA上产生阴性结果后,可用于鉴定导至胎儿结构异常的遗传变异。这种提高的诊断率有可能改善妊娠的临床管理,并更好地为受影响家庭的生殖决策提供信息。然而,由于产前时间要求紧和不完整的表型信息的限制,胎儿WES数据的解释可能具有挑战性。

 

游侠点评

来自广州市妇女儿童医疗中心的廖院长团队通过对近四千例的结构畸形胎儿采用多种检测方法寻找致病原因,系统阐述了各种检测方法和各种临床表型的阳性率,从结果来看,有力地证明了WES产前应用的可行性,对于这个机构游侠印象特别深刻,因为在游侠举办的全国各地遗传病生信培训实操班上都能看到来自这个机构的学员,侧面反映了这个医疗中心的员工好学上进的态度。从文中结果来看约80%的阳性结果都是来自新发突变,而每个人在编码区的新发突变平均不到2个,因此胎儿临床表型信息不完整就不是个大问题,因为我们可以通过trio分析新发突变来指导临床收集表型,按顾卫红老师的话说就是基因与表型互为线索。另外现在的全外显子通过算法也可以分析CNV与非整倍体,一种检测解决多个问题,高性价比的全外显子必将在产前大显身手。从技术上看已经完全可行,但临床医生比较关心有没有指南、有没有共识,暂时确实没有,但是不妨碍做科研,建议各大产前诊断中心先以科研的形式摸索摸索可行性。在小彩虹论坛上宁波出生缺陷主任李海波透露北京协和医院正在组织协调产前WES的研究,相信不久之后,产前WES会有专家共识出来。


产前WES相关文章

寻找非免疫性水肿胎儿潜在的遗传病因

高通量测序和产前组学:先进的诊断和对人类发展的新见解

全外显子测序在产前超声异常胎儿中的应用:新的机遇与挑战

异常胎儿的全外显子检测和肾发育不全新基因GREB1L的发现

对超声异常的胎儿进行全外显子测序:扩充了人类在胎儿发育过程中的遗传病知识

三大国际权威协会发布产前诊断中基因组测序(非NIPT)应用的声明

声明:
1、凡本网注明“来源:小桔灯网”的所有作品,均为本网合法拥有版权或有权使用的作品,转载需联系授权。
2、凡本网注明“来源:XXX(非小桔灯网)”的作品,均转载自其它媒体,转载目的在于传递更多信息,并不代表本网赞同其观点和对其真实性负责。其版权归原作者所有,如有侵权请联系删除。
3、所有再转载者需自行获得原作者授权并注明来源。

最新评论

关闭

官方推荐 上一条 /3 下一条

客服中心 搜索 洽谈合作
返回顶部